OCAD应用:平行光路中打入型变焦系统设计
正如上面所说,有些光学系统出于结构需要,可能在物镜后面塞得很满没有空间安排打入式变焦活动组,此时可以在物镜(变焦固定组)前安排活动组。
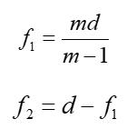
正如上面所说,有些光学系统出于结构需要,可能在物镜后面塞得很满没有空间安排打入式变焦活动组,此时可以在物镜(变焦固定组)前安排活动组。前置的变焦活动组应该是一个望远系统,也分为前后两个单元。根据变焦倍率以及两组分间的空气间隔,两组分的焦距分配关系如下。式中 f1 及 f2 分别表示前后两组焦距值,m为变焦倍率,d为两组分间间隔。

以上间隔均由程序自动完成。在OCAD设计窗口内有“会聚光路内打入”和“平行光路内打入”的两种选择。在选择“平行光路内打入”后,设计界面如图所示。界面内也有是否单组打入和两组分间隔打入的选择。和以往一样操作方法即可自动设计出所要求的初始结构参数。设计出带反射棱镜的和不带反射棱镜的设计结果光学系统示意图如图1所示。

图1.平行光路中单变焦组打入式自动设计界面
图2.平行光路中打入式自动设计结果结构示意图
本文版权归网站所有,转载请联系并注明出处:
http://127.0.0.1/article-detail/WJaaOmqN