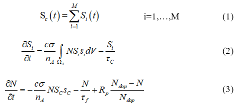
目录 动态多模分析和调Q运转模拟 1 1.介绍 1 2.激光器连续输出时输出功率,模式竞争,和光束质量的模拟 2 3.Q开关运转模拟 6 4.光阑影响模拟 10 5.结论 12 1.介绍 动态多模分析的目的是进行激光多模和激光调Q运转分析。激光腔内横模结构近似为HG和LG模式。HG和LG模式是不同本征频率对应的正交特征函数,我们假设模式之间的横模振荡互不干扰,因此模式之间的短时干涉影响可以忽略。基于这个假设,起振模式中的反转粒子数密度和光子数是由下面的以时间为变量的3D速率方程描述:
 方程1-3描述反转粒子数密度 ,腔内总光子数 ,归一化光子密度分布 ,单个横模的光子数 ,相应的单个模式归一化光子密度分布 。在单个模式中基于光子数 的时间和光子密度分布 用于描述整个横模结构的分布。采用同样的方法,可以得到与时间相关的模式竞争效应分析和腔的多模行为。该计算结果可用于计算光束质量和激光功率输出,描述与时间相关的Q开关运转。 方程2-3中的参数如下 
方程2-3用于四能级激光系统。准三能级系统的多模分析还在研究中。三能级(泵浦能级)和能级2(激光上能级)之间,能级1(激光下能级)和能级(基态能级)之间的快速衰减速率已被假定。 在前面的章节中有详细的关于计算激光输出功率,Q开关运转和光阑影响的参数和方程之间的数学关系的介绍。或者,可以点击LASCAD主窗口主菜单的“Help DMA Code”。 接下来有一个关于DMA编码的指南。它显示了怎样比较合理地定义DMA GUI中单个输入参数来模拟CW多模操作,Q开关运转和光阑的影响。 2.激光器连续输出时输出功率,模式竞争,和光束质量的模拟 要使用DMA编码,需要在腔内插入一个热透镜晶体。可以参照教程1的说明,准备一个端面泵浦的晶体。简便地,我们可以直接打开tutorial-1.lcd文件激活腔结构,该文件可以在LASCAD的子目录“tutorials”中找到。在我们设置好FEA编码和在模式腔内插入晶体后,在LASCAD主菜单中选择 “Dynamic Multimode Analysis”,打开DMA窗口。在该窗口中,点击Open GUI for DMA,打开“Dynamic Multimode Analysis”。该窗口有5个标签,如下: 2.1 高斯模式选项 点选该选项并选择“type of Gaussian modes”来近似激光模式结构。如果模式结构是象散的,选择Hermite-Gaussian模式。在旋转对称腔结构设计时,选择LG模式更好。但是,如果横模数量较多,则推荐采用Hermite-Gaussian模式,高阶LG在数值上更复杂。模式类型选择会自动地基于激光模式结构的象散选择。“Maximum transverse mode order”定义在x和y方向的最大传输模式阶数Nmax。但是,随着Nmax的增加,由于总模式数  ,因此M也会跟着变大,将耗费一定的计算时间。 如果Nmax已经定义,我们需要设置“Number of grid points in x- and y- direction”足够大来解决高阶传输模式的传输强度振幅分布。否则,该数值和热FEA中使用的横向格点大小一样。热FEA大小仍然保留“Number of grid points in z-direction”。 “Stretch factor in x- and y-direction related to beam diameter”的定义严格依赖于Nmax和在Help中描述的泵浦光分布情况。如果Nmax=0,我们就需要将伸展因子设置为2来考虑基模和吸收泵浦光功率分布的叠加情况。 2.2 速率方程选项 虽然该标签的定义已经在LASCAD的“Laser Power Output”窗口定义过,但是还是有必要在该标签中再定义一次。与时间无关的激光功率输出结果相比,该窗口处的定义需要与别的输出一致。 2.3 CW运转选项
“Time resolution”的默认值10ns,与普通激光结构相符。但是,该条目和“Time period used for simulation”应该受计算结果控制。 2.4 光束质量 光束质量因子 是根据Siegman and Townsend用如下方程计算的  (4)  (5)....... 5.结论 上面章节的所有计算证实了DMA编码用于多模竞争的动态分析和Q开关都是一个非常好用的工具。该工具可以计算与时间相关一系列单个横模的相互作用,光束质量,激光输出功率,横模结构的强度分布,连续波和脉冲泵浦的脉冲外形,脉冲波峰强度等。因此它给激光工程师在优化激光腔结构时提供了重要的信息和帮助。 |