FRED应用:MTF的计算
FRED可以计算一个给定系统的MTF,本教程解释了如何来实现这个功能。
描述
FRED可以计算一个给定系统的MTF,本教程解释了如何来实现这个功能。
建立系统
这篇文章中我们所使用的系统是一个简单的透镜,将光聚集到附着在几何面的分析面上。透镜是一个简单的双凸BK7单透镜,参数为r1=60 mm, r2=-300 mm, ct=4 mm, x semi-aperture=10, y semi-aperture=10,该透镜的像平面位于近轴焦点处。
光线聚焦的几何面是一个简单的表面,它的位置规范与透镜的第二个面是一致的,并且在Z轴方向移动94.591622 mm。

光源是一个44*44格的相干光,类型是single direction(plane wave)单一方向的平面波,波长为0.55 μm,功率为一个单位。 



分析
这个系统的点扩散函数:
• Log (Normal PSF)
• λ = 0.55 mm
• 0.32 waves 3rd order spherical
• EPD = 10 mm
• f/# = 9.68
点扩散函数如下图: 
系统的点扩散函数是:
• Log (Normal PSF)
• λ = 0.55 mm
• 1 wave 3rd order spherical
• EPD = 13.31 mm
• f/# = 7.27
点扩散函数如下图:
演算
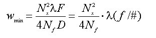
为了充分采样透镜的空间频率直到截止频率,分析面的最小半宽需满足以下要求:
在这个等式中变量定义如下:
• Nx == number of pixels in the analysis plane for the irradiance spread function (PSF)(分析面的像素数用于照度分布函数)
• w == half width of the analysis plane for the irradiance spread function (PSF)(分析面的半宽度用于照度分析函数)
• Δx == pixel size in lens units(透镜的像素大小单位)= 2w/Nx
• Nf == number of pixels in the transform grid(在转换网格中的像素数);
• the transform grid must have 2n x 2n pixels(转换网格一定要有2n x 2n个像素) (i.e. ...16, 32 , 64, 128, 256, 512, ...)
• FRED automatically sizes the transform grid so that it is 2n x 2n. Its size is the smallest grid for which Nf is greater than or equal to Nx(FRED自动规定转换网格的尺寸保证它的大小为2n x 2n。它的大小是最小的网格,Nf应大于等于Nx)
• if Nx = 127, then FRED makes Nf = 128(如果Nx=127,FRED就将Nf 设置为128)
• if Nx = 128, then FRED makes Nf = 128
• if Nx = 129, then FRED makes Nf = 256
• Δf == pixel size in 1/lens units (1个透镜单元的像素大小)= 1/(Nf*Dx)
• λ == wavelength in lens units(透镜单元的波长)
• F == focal length(焦距)
• D == entrance pupil diameter(入瞳直径)
比较
在下图中:
透镜EPD=10mm
截止频率=184lp/mm
图像平面网格=128*128像素,在X和Y方向上的全宽度为0.348mm*0.348mm。 
在下面的图表中:
透镜EPD=13.31 mm
截止频率=250 lp/mm
图像平面网格=128*128像素,在X和Y方向上的全宽度为0.256mm*0.256mm
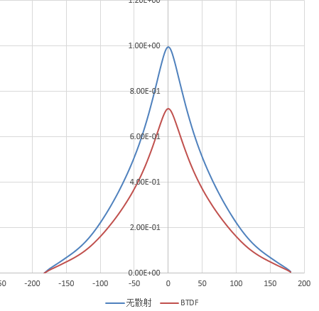
增加第一表面的BTDF函数,TIS=0.27,表面粗糙度为:90埃
则可以看到表面粗糙对MTF的影响:
