GLAD:热晕效应
本例介绍了模拟激光在大气中传输时热晕效应对应的bloom命令的使用。描述热晕的基本方程包括波动方程和流体力学方程。
概述
激光在大气中传输时部分能量被空气中的分子和气溶胶吸收。被吸收的热量将空气加热,导致气压上升,空气膨胀,空气密度降低,折射率下降,形成一个负透镜,使激光束发散。当存在侧向风时,下风区空气密度降低,因而下风区的折射率减小,形成特有的弯向上风区的光束分布,使光束畸变、弯曲和发散,劣化光束质量。这就是热晕效应。它是激光在大气中传输时所面临的严重问题之一。

图1.热晕效应成因示意图
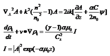
系统描述
本例介绍了模拟激光在大气中传输时热晕效应对应的bloom命令的使用。描述热晕的基本方程包括波动方程和流体力学方程。首先由Maxwell方程得到激光波动方程,再结合流体力学中的三个守恒定律——质量守恒定律、动量守恒定律、能量守恒定律得到描述热晕效应的方程。对于理想气体,在等压近似下得到:
本例对比了三种情况下的激光远场分布:(1)没有大气像差和热晕效应下的远场光强分布;(2)没有大气像差但有热晕效应下的远场光强分布;(3)同时考虑大气像差和热晕下的远场分布。通过对比我们会发现热晕效应会使光束焦点前移,焦斑沿垂直光轴方向发生位移,焦斑畸变,尺寸变大。
模拟结果
图1.不含大气像差和热晕效应的远场分布,此时光束的焦点在4km处,光斑尖锐。

图2.热晕效应导致的3.5km处的光斑分布,此时光束的焦点已经前移到2.7km,由于光斑变大,光强也显著降低,光斑的分布呈现出糖匙形状。
图3.热晕效应和大气像差共同决定的3.5km处的光斑分布,此时光束的焦点进一步前移到1.8km,由于光斑变大,光强显著降低,光斑的分布呈现显著的旁瓣。
本文版权归网站所有,转载请联系并注明出处:
http://127.0.0.1/article-detail/bmzz2lGB